更多资讯可登录运营商世界网(telworld.com.cn),也可关注微信公众号tel_world
运营商世界网讯 根据中国电信集团公司的相关公告,中国电信已于近日启动集团公司总部员工大规模招聘,涉及多达41个工作岗位,招聘多达47人,为历年来罕见。但是,中国电信集团公司表示,不承诺解决进京户口。
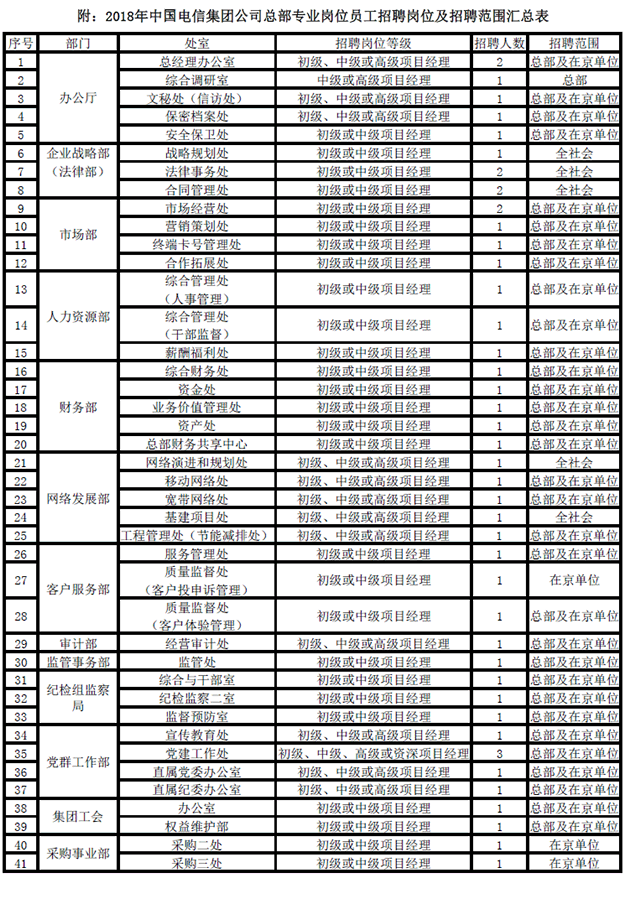
运营商世界网获悉,本次招聘涉及总部办公厅、企业战略部(法律部)、市场部、人力资源部、财务部、网络发展部、客户服务部、审计部、监管事务部、纪检组监察局、党群工作部、集团工会、采购事业部等 13 个部门共 41 个员工岗位(招聘 47 人)进行公开招聘。
一、招聘岗位及招聘范围
招聘岗位详见附件 1 。具体招聘岗位职责及具体任职条件,详见报名系统(集团集中人力 MSS 系统)相应岗位。
除个别特殊专业岗位外,本次招聘岗位原则上面向中国电信集团公司总部及在京单位招聘。
二、任职条件要求
(一)通用任职条件
1 、具备全日制大学本科及以上学历;
2 、原则上年龄在 35 周岁及以下(本次为 1983 年 1 月 1 日以后出生;总部内部跨职能部门应聘,不受年龄限制,并直接列为面试人选),身体健康。
(二)具体专业任职条件
招聘岗位所需的综合素质、专业知识、教育背景、工作经验、以及其他专业必备条件要求,详见各部门所列本部门招聘各岗位职责及任职条件要求。
三、招聘基本程序
发布招聘公告、报名、资格筛选、综合素质笔试、可根据部门需要进行专业测试、面试、聘任试用。
四、报名事项
(一)报名截止时间
6 月 6 日 17:30
(二)报名方式
集团内部人员应聘,在集团集中 MSS 人力系统自助报名;集团外的社会人员应聘,在中国电信官网报名。
1 、集团公司总部(含事业部)报名人员在报名期限内,登录集团公司总部 OA “热点服务”——“个人信息及薪酬自助查询(新)”——“招聘管理”——“申请岗位”报名。
2 、集团公司在京单位报名人员,请登录本单位集中 MSS 人力系统个人账户报名(详询本单位人力资源部或咨询技术支持电话 010-58103586 )。
3 、面向社会招聘岗位的报名人员,请登录中国电信网站: www.chinatelecom.com.cn/jobs/ ,进入“招贤纳士”报名。
集中人力 MSS 系统报名技术支持电话: 010-58103586 ;
中国电信集团公司网站支持电话: 13370166218 , 010-58716917 。
电子邮箱: hr-mss@chinatelecom. cn 。
五、相关说明
1 、应聘人员限报 1 个岗位;服从调剂的,需注明。
2 、原则上,集团内部应聘人员需在本单位或部门工作 2 年以上(在本单位或部门工作年限计算至 2018 年 12 月 31 日);直系亲属(含配偶)不可同时在总部职能部门工作。
3 、在招聘岗位等级区间内,总部外招聘录用人员岗位等级确定原则为不高于原单位岗级或最低按 11 岗级定级,其中所在单位岗薪体系与总部不一致的(含集团外部应聘人员),原则上不高于同工龄和学历总部员工相应岗位等级平均值。
面试时与应聘人员沟通确认岗位等级。
4 、参与集团重大项目、表现突出的,经招聘岗位所在部门书面推荐(详见附件 2 ),相关岗位的招聘范围和任职条件可适当放宽。
5 、招聘岗位工作地点:北京。
6 、本次招聘所录用非京籍人员,集团公司不承诺解决进京户口。

运营商世界网(官方微信公众号tel_world)——TMT行业知名新锐媒体,一家专注通信、互联网、家电、手机、数码的原创资讯网站。


